
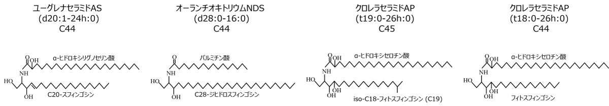
▲微細藻類で確認された特徴的な超長鎖セラミド
微細藻類は、約30億年前から地球の過酷な環境を生き抜いてきたとされる。強烈な紫外線や乾燥に耐えるための高度な細胞防御機構を進化させてきた。これまで、微細藻類は栄養価の高い食品素材として注目されてきたが、セラミドに着目した研究は少なかった。
今回の研究では、ユーグレナから動物皮膚特有の「セラミドAS」、オーランチオキトリウムから希少な「セラミドNDS」、クロレラから強固で酸化に強い「セラミドAP」を確認した。これらの成分は、ヒト皮膚セラミドと高い構造的親和性を示し、次世代の化粧品原料としての可能性があるとされている。

▲皮膚セラミドの組成と天然セラミドの供給源
サティス製薬とユーグレナは、2024年の事業提携以降、新しい化粧品の研究開発を進めている。サティス製薬はナチュラルで高性能な化粧品原料の開発に強みを持ち、ユーグレナは微細藻類の培養・生産技術を活用している。今後も、微細藻類を活用し、健康および美容分野への貢献を目指すとしている。
※本記事の制作にあたってAIを活用しています。
